免疫性血小板减少症(ITP)是一种获得性自身免疫性疾病,以血小板计数降低和出血风险增高为特征。对于一线治疗(如糖皮质激素)反应不佳或复发的患者,重组人血小板生成素(rhTPO)和血小板生成素受体激动剂(TPO-RAs)如艾曲泊帕等是重要的二线治疗选择。然而,不同促血小板生成药物的起效速度、疗效和安全性存在差异,如何为患者选择更优方案是临床面临的重要挑战。
樱花动漫 周泽平教授团队2023年首先在国际上报道了增加rhTPO剂量至30000U/天可以提高ITP患者每周血小板水平上升的程度,在慢性ITP患者中存在统计学差异,研究结果发表在血液学期刊《Platelets》上。
2025年8月21日,中国医学科学院血液学研究所张磊教授团队联合樱花动漫 周泽平教授团队等国内12家中心在《eClinicalMedicine》(柳叶刀子刊,IF=10.0,中国科学院1区)在线发表题为“Dose-optimised recombinant human thrombopoietin versus eltrombopag in patients with immune thrombocytopenia:a multicenter,randomised controlled trial(The TE-ITP Study)”的研究论文(共一)。该研究首次比较了剂量优化的rhTPO方案与标准剂量艾曲泊帕在ITP患者中的疗效和安全性,并明确了rhTPO的个体化治疗优势。

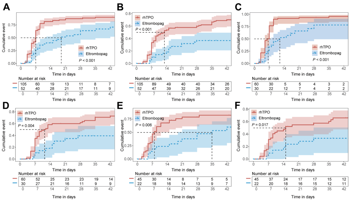
该研究是一项由国内12家中心开展的开放、随机标签、阳性药物对照临床试验。研究共纳入157例成人ITP患者,按2:1随机分配至rhTPO组(105例)或艾曲泊帕组(52例)。rhTPO组和艾曲泊帕组每周根据血小板计数调整剂量,最高剂量分别为600 U/kg/天和75 mg/天。研究包括6周治疗期和20周随访期,主要终点为血小板计数首次达到≥50×10⁹/L所需的时间。

研究结果显示rhTPO组患者的中位起效时间显著短于艾曲泊帕组。在治疗6周内,至少一次血小板计数≥50×10^9/L的患者比例rhTPO组显著高于艾曲泊帕组(96.2% vs 65.4%,p<0.001)。在不同亚组中,rhTPO组均较艾曲泊帕组表现出更快的起效优势。无论是总体反应率还是完全反应率,rhTPO组在各时间点(第1、2、4、6周)均显著优于艾曲泊帕组。在出血风险方面,两组患者的出血比例均有所下降,但与艾曲泊帕组相比,rhTPO组患者出血的风险降低了47.7%,而且出血风险更早缓解。
安全性方面,rhTPO组的不良事件发生率显著低于艾曲泊帕组(45.7% vs. 60.8%),绝大多数不良反应为1-2级。rhTPO组在肝脏安全性方面优势明显。两组血栓事件发生率均较低(1.0% vs. 2.0%),未发生4级及以上不良事件。

该研究首次证实,通过剂量优化策略,rhTPO可显著缩短ITP患者的血小板提升时间,同时降低出血风险,为临床提供了新的个体化治疗选择。这一发现将可能改写ITP二线治疗的临床实践,尤其适用于出血风险高、需快速升板的ITP患者。
中国医学科学院血液病医院(中国医学科学院血液学研究所)张磊主任医师为通讯作者,樱花动漫 周泽平教授为共同第一作者。
文图:血液内科